Summary of the Board of Supervisors Meeting: October 14, 2025

OCTOBER 14, 2025 MEETING OF THE NELSON COUNTY BOARD OF SUPERVISORS. 2:00 P.M.

Present: Supervisors Jessica Ligon, David Parr, Ernie Reed, and Jesse Rutherford

Absent: Supervisor Tommy Harvey

 ALL REFERENCED DOCUMENTS IN THE BOARD OF SUPERVISORS’ (BOS)PACKET can be found by going to https://www.nelsoncounty-va.gov/government/board-of-supervisors/, clicking on the calendar, October 14, 2025 and clicking on the 2:00 meeting announcement. It will be  on left side of the page, 3rd item listed just above the agenda.!!!

 I. The meeting was called to order followed by a  moment of silence and the pledge of allegiance.

II. PUBLIC COMMENTS

 1.     Joanne Clarkson:  She wants her name, address, identification of any property she owns, and her phone number removed from the internet. She is aware that there is a code section that allows Board Members to petition the court to have their personal information taken off the internet. Her information was taken by some unknown person and used for fraudulent purposes. She also wants the amount of time each speaker is allowed to speak in the public comment section of the meeting increased as she has a great deal more that she wants to say about her concerns about the county than three minutes allows. 

2.     Bill Thompson:  He wants to address the water and sewer issues in Piney River. He is aware that the system resulted from a grant of money 12-13 years ago and he gave up a perfectly good well because the rates were so favorable. There are currently maintenance issues in the system. He wants to know who is going to look after the maintenance, monitor the rates in the future if the Nelson County Service Authority takes control. The people who are on the Piney River System are on limited fixed incomes. Could this system not be subsidized based on the incomes of the users?

3.     Wisteria Johnson: spoke out against the way the DSS Board was dissolved.  She said the dissolution of the board was based on half-truths and misinformation and the persons who were removed were unable to defend themselves due to confidentiality. She hypothesized a number of potential, improper or nefarious reasons that might have motivated the Board to act as it did but made no specific allegations.  She did say that there would come a day of reckoning.  She asked the county to apply common sense and pointed to the enormous loss of institutional memory that left with the discharge of the board members.

4.     Carla Quenneville and Robert Johnson – Lovingston Merchants Association: Carla Quenneville, President, appeared on behalf the Lovingston Merchants Association, a new group that is focused on the businesses of Lovingston and on the 29 corridor. They are committed to fostering economic growth, collaboration between local business, and fostering tourism through the beauty, vibrant art scene, and rich culture of the community.  Also present were Robert Johnson, the treasurer,  Leslie Brock,  the vice president, and Abby Rice, the secretary.  Robert Johnson presented the request for $5000 from the county. He explained that their purpose for requesting the money is to pay legal fees and costs of incorporating and the cost of filing for 501(c) 6 status so they can apply for grants, and for the cost of advertising and creating a website.

 III. CONSENT AGENDA:

A. Resolution – R2025-71 Minutes for Approval was passed with 3 affirmative votes and with Supervisor. Rutherford abstaining as he was not at the meeting. The remaining Resolutions (R2025-72 FY26 Budget Amendment, R2025-73 Middle James 2 RPU Regional Water Supply Plan Participation, and R2025-74 Recognition of Officer of Election Connie Taylor Clark) were unanimously approved.

B. Resolution – R2025-71 Minutes for Approval:

“RESOLVED, by the Nelson County Board of Supervisors that the minutes of said Board meetings conducted on February 18, 2025 and September 9, 2025 be and hereby are approved and authorized for entry into the official record of the Board of Supervisors meetings.”

 B. Resolution – R2025-72 FY26 Budget Amendment:

I. Appropriation of Funds (General Fund)

Amount                        Revenue Account (-)                       Expenditure Account (+)

   $2,563.45                  3-100-003303-0008                         4-100-999000-9905

   $7,406.78                  3-100-003303-0008                         4-100-999000-9905

   $2,596.17                  3-100-003303-0008                         4-100-999000-9905

   $2,797.41                  3-100-003303-0008                         4-100-999000-9905

 $13,147.00                  3-100-001803-0001                         4-100-999000-9905

   $1,377.00                  3-100-003303-0107                         4-100-031020-1013

   $9,404.94                  3-100-009999-0001                         4-100-021060-3164

   $9,354.00                  3-100-009999-0001                         4-100-021060-3164

   $2,500.00                  3-100-002404-0060                         4-100-081020-7072

          $0.62                  3-100-009999-0001                         4-100-022010-5419

  $10,000.00                 3-100-001901-0034                         4-100-031020-3040

  $98,850.00                 3-100-009999-0001                         4-100-091050-7033

  $7,800.00                   3-100-009999-0001                         4-100-091050-7135

$151,477.33                 3-100-009999-0001                         4-100-091050-7166

$196,000.00                 3-100-009999-0001                         4-100-091050-7093

  $29,827.88                 3-100-009999-0001                         4-100-091050-7023

    $1,239.10                 3-100-001401-0002                         4-100-031020-7017

    $1,536.00                 3-100-001401-0002                         4-100-031020-7017

    $9,236.89                 3-100-001899-0017                         4-100-031020-5803

$ 557,114.57

 II. Transfer of Funds (General Fund Departmental)

 Amount                           Credit Account (-)                          Debit Account (+)

$ 3,072.00                       3-100-001401-0002                        3-100-001401-0001

$ 3,072.00

 

EXPLANATION OF BUDGET AMENDMENT

 I. Appropriations are the addition of unbudgeted funds received or held by the County for use within the current fiscal year budget. These funds increase the budget bottom line.

The General Fund Appropriations of $557,114.57 include requests of (1)(2) $2,563.45 and $7,406.78 appropriation requests for Sheriff's DMV Selective Enforcement Alcohol and Traffic Federal Grant funding for January-March 2025; (3)(4) $2,596.17 and $2,797.41 appropriation requests for Sheriff's DMV Selective Enforcement Traffic and Alcohol Federal Grant funding for April-June 2025; (5) $13,147.00 appropriation requested for Jaunt distribution of excess FY24 local funding received in FY26; (6) $1,377.00 appropriation requested for Sheriff's DEA Task Force Grant funding for August 2025; (7)(8) $9,404.94 and $9,354.00 reappropriation requests for Circuit Court Records Preservation (CCRP) Grant funds awarded in FY25 for use in FY26; (9) $2,500.00 appropriation requested for FY26 VTC Vacation Starts with VA DMO Grant funds awarded for use in FY26 (local match of $2,500 required); (10) $0.62 request to reappropriate remaining unused FY25 Commonwealth Attorney's Asset Forfeiture funds for use in FY26; (11) $10,000.00 appropriation requested for Sheriff's FY26 Seven Stars Festival deposit received for Overtime incurred assisting with festival during weekend of 10/9-10/13; (12) $98,850.00 request to reappropriate unused FY25 funds for Microwave Batteries DC Plant Project for use in FY26; (13) $7,800.00 request to reappropriate unused FY25 funds for Phone System Trunk Configuration Project for use in FY26; (14) $151,477.33 request to reappropriate unused FY25 funds to finish out Purchase Order for E911 Microwave Network Upgrade Project; (15) $196,000.00 request to reappropriate unused FY25 funds for Radio-Improve Wintergreen Project for use in FY26; (16) $29,827.88 request to reappropriate unused FY25 funds for Comprehensive Plan & Zoning Update for use in FY26; (17)(18) $1,239.10 and $1,536.00 appropriation requests for Sheriff's E-ticket revenue received in July-September 2025; and (19) $9,236.89 appropriation requested for Sheriff's fundraising account balance established under General Fund. The total appropriation request for this period is below the 1% of expenditure budget limit of $993,163.43 for October. Of the total appropriations this month, $28,510.81 (Items 1-5) of funds are being added to Non-Recurring Contingency. Following approval of these expenditures, the balance of Recurring Contingency will be $26,469.04. The balance of Non-Recurring Contingency will be $415,899.61.

 II. Transfers represent funds that are already appropriated in the budget, but are moved from one line item to another. Transfers do not affect the bottom line of the budget. A General Fund Department Transfer in the amount of $3,072.00 is requested as follows: (1) $3,072.00 transfer of E-Ticket revenues collected in July-August 2025 from Court Fines & Forfeitures line to new E-Ticket line to better account for those funds. The debits and credits were mistakenly reversed on last month's budget amendment; this amount corrects the mistake and allocates the revenues correctly.”

C. Resolution – R2025-73 Middle James 2 RPU Regional Water Supply Plan Participation:

“WHEREAS, the Virginia General Assembly has mandated the development of regional water supply plans throughout the Commonwealth and the State Water Control Board has developed regulations to implement this planning process; and

WHEREAS, based upon these regulations Nelson County is required to contribute towards a regional water supply plan that fulfills the regulations by deadlines established in 9VAC25-780-50.A, specifically:

“Each locality in a regional planning area shall assist its regional planning unit in developing and submitting a single jointly produced regional water supply plan to the Department within five years from October 9th, 2024”

WHEREAS, regional planning areas are designated by 9VAC25-780-45.B, and a local government may request that the Department change its designated regional planning area to an adjoining planning area in accordance with 9VAC25-780-45.C.

WHEREAS, the following elements must be included in regional water supply plans in accordance with 9VAC25-780:

• A description of existing water sources in accordance with the requirements of 9VAC25-780-70;

• A description of existing water use in accordance with the requirements of 9VAC25-780-80;

• A description of existing water resource conditions in accordance with the requirements of 9VAC25-780-90;

• An assessment of projected water demand in accordance with the requirements of 9VAC25-780-100;

• A statement of need for the regional planning unit in accordance with the requirements of 9VAC25-780-100;

• An alternatives analysis to address projected deficits in water supplies in accordance with the requirements of 9VAC25-780-100;

• A description of water management actions in accordance with the requirements of 9VAC25-780-110 and 9VAC25-780-120;

• A description of drought response and contingency plans for each local government in the RPU, in accordance with the requirements of 9VAC25-780-120;

• An identification of water supply risks and regional strategies to address identified risks in accordance with the requirements of 9VAC25-780-125; and

• A map identifying important elements discussed in the water supply plan that may include existing environmental resources, existing water sources, significant existing water uses, and proposed new sources, and

WHEREAS, the Virginia Department of Environmental Quality has announced the availability of grant funds to assist Regional Planning Units and offset some of the costs related to the development of these Plans and are encouraging RPUs to submit applications for grant funds; and

WHEREAS, for purposes of this DEQ water supply grant fund program, Nelson County will participate within the Middle James River 2 Regional Planning Unit, and

WHEREAS, the Regional Planning Unit, through the lead agent wishes to apply for and secure DEQ grant funds to help offset the cost of regional water supply plan development.

NOW, THEREFORE BE IT RESOLVED that Nelson County agrees to participate with all local governments and water authorities within the Middle James River 2 Regional Planning Unit in the development of a regional water supply plan that will comply with mandated regulations; and

BE IT FURTHER RESOLVED that the lead agent is authorized to develop an application for water supply planning grant funds to offset to the extent feasible the cost of developing said regional water supply plan; and

BE IT FURTHER RESOLVED that the lead agent agrees to manage all grant funds received and allocate these shared funds towards the tasks and deliverables proposed in the grant application for the benefit of the entire Regional Planning Unit, and

BE IT FINALLY RESOLVED that the Central Virginia Planning District Commission is authorized to sign the DEQ contract and other appropriate documents related to the water supply planning grant and the regional water supply plan.”

 D. Resolution – R2025-74 Recognition of Officer of Election Connie Taylor Clark: 

“WHEREAS, Connie Taylor Clark, a lifetime resident of Nelson County, Virginia and a registered voter since 1975, has served this community as an Officer of Election for more than thirty years; and

WHEREAS, during those years, Connie Taylor Clark has participated at nearly every level of election service, bringing her friendly, knowledgeable, calm, and always-pleasant demeanor to each element of the process; and

WHEREAS, Connie Taylor Clark is truly an asset to this community, and one who exemplifies public service in a manner which should inspire each of us to do the same,

NOW THEREFORE BE IT RESOLVED, that the Nelson County Board of Supervisors, jointly with the Nelson County Electoral Board and General Registrar, do hereby officially recognize Connie Taylor Clark, and respectfully ask all citizens alike to join in expressing their sincere gratitude and appreciation for her many years of outstanding service to our community she has most generously given.”

IV. PROCLAMATION – DOMESTIC VIOLENCE AWARENESS MONTH (P2025-05):  The Board unanimously approved the following proclamation:

            “WHEREAS, the problems of domestic violence are not confined to any group or groups of people but cross all economic, racial and societal barriers, and are supported by societal indifference; and

WHEREAS, the crime of domestic violence violates an individual’s privacy, dignity, security, and humanity, due to systematic use of physical, emotional, sexual, psychological and economic control and/ or abuse, with the impact of this crime being wide-ranging; and

WHEREAS, no one person, organization, agency or community can eliminate domestic violence on their own—we must work together to educate our entire population about what can be done to prevent such violence, support victims/survivors and their families, and increase support for agencies providing services to those community members; and

WHEREAS, the Shelter for Help in Emergency and the Nelson County Victim/Witness Program have led the way in the County of Nelson in addressing domestic violence by providing 24-hour hot line services to victims/survivors and their families, offering support and information, and empowering survivors to chart their own course for healing; and

WHEREAS, the Shelter for Help in Emergency commemorates its 46th year of providing unparalleled services to women, children and men who have been victimized by domestic violence; and

WHEREAS, the Nelson County Victim/Witness Program currently provides victim advocates and a support group for those seeking relief from domestic violence in Nelson County;

NOW THEREFORE, BE IT RESOLVED, in recognition of the important work being done by the Shelter for Help in Emergency and the Nelson County Victim/Witness Program, the Nelson County Board of Supervisors do hereby proclaim the month of October 2025 as DOMESTIC VIOLENCE AWARENESS MONTH, and urge all citizens to actively participate in the elimination of personal and institutional violence against women, children and men.”

 V. PRESENTATIONS

 A.   VDOT Report:  Robert Brown: VDOT has completed the structure replacement on Route 617, Rockfish River Road in the past week or so. They are currently working on the Davis Creek Rural Rustic Road and are installing large pipes.  The cost has been more than expected.  He hopes to finish it this year. At Route 6 up at Afton the paving is complete.  They are now paving the lower part of Route 56 near Wingina which was pulled off the paving schedule eight years ago.  It has been a struggle to get it back on the schedule.  VDOT is trying to replace a lot of bad pipe in the secondary roads in the Shipman area.  Last month’s pipe cut on Arrington Road has been repaired and an additional road with pavement damaged due to ditching has been repaired.  Supervisor Rutherford raised Piedmont Road where a pipe is moving, causing the road to collapse and holes are appearing. There are reported issues of brush cuts needed in Schuyler at Rockfish River Road.

 Supervisor Ligon thanked VDOT for getting to last month’s concerns so quickly.

 Supervisor Parr reported constituent concerns about grass being kicked up into the road at Jacks Hill Road. He reported that his predecessor on the Board did the cutting himself.    

 Supervisor Reed said that constituents want a cross walk by Belties in Nellysford across Route 151. He and Mr. Brown are going to walk the area to see what location meets the VDOT criteria.  Supervisor Reed addressed what he learned about “jake brakes” and realizes that  the issue requires legislative action.  He will try to address the issue through the Virginia Association of Counties and have them create some suggested legislation if the rural counties agree it is important issue.  Mr. Brown said the enforcement of such a law is a difficulty.  Supervisor Reed also reported that folks on Edgehill Way would like paving in the future rather than asphalt and stone. Mr. Brown said it doesn’t qualify for paving but maybe they would get a micro surface 7-9 years from now.  Hill Hollow needs a posted sign informing trucks of the truck limits on size and speed.  He inquired how we could affect what GPS shows truckers as preferred routes for trucks? Mr. Brown said that the Virginia Trucking Association is the group we need to talk to.  In response to the question about the collapsed culvert near the Route 6 south and Route 29 interchange, Mr. Brown stated the private entrance pipe will not be replaced by VDOT although VDOT will promptly install the pipe if the owner(s) of the property purchase the pipe.

  B. Larkin Phase 1 Well Evaluation & Dillard Creek Flow Evaluation – CHA Consulting Inc:

i) The material here is a short summary of the power point  “Well Evaluation Report ” prepared by CHA Consulting and presented by Mr. Stephen Steele which is very detailed:

Three questions were addressed in the Well Evaluation report:

1)    Is the site’s geology favorable for groundwater wells(s)?

2)    Where should the wells be drilled?

3)    How much is it going to cost to drill and develop the well for potable and non-potable water?

The well yields need to be 81,940 gallons per day or 60 gallons per minute as a “safe yield.” VDH requires that only 55% of the total yield be used as a safe yield amount which means that the total well yield needs to be at least 110 gallons per minute. The site geology showed the bedrock to have low porosity. Groundwater flow is through weathered rock and fractures. It may require 2-3 Wells to reach 110 gallons per minute as nearby wells range between 7.7 -88 gallons per minute. 

ii) Dillard Creek Ground Water Source Evaluation:

 The objectives of the report were to ascertain the following;

 1. Project estimated Dillard Creek flows

2. Identify potential intake locations want to be as close to the property as possible

3. Review endangered or threatened species

or other species concerns

4. Identify potential Virginia Water Protection

(VWP) permit conditions

1. Withdrawal limitations,

2. Intake construction requirements

3. Operations and reporting requirements.

5. Estimate permitting and capital and operational costs.

There was no USGS gage on Dillard Creek; Tye River gage was used as surrogate. The potential intake location is expected to be near US Rt. 29. The average daily flow at Dillard Creek is estimated at 8.3 MGD, with a median flow of 5.0 MGD. A typical DEQ Virginia Water Protection (VWP) permit includes a 10% withdrawal limit allowing an average withdrawal of 0.83 MGD.  The lowest average streamflow months are July and August, followed by October. Even during the low flow months, the monthly average flow is greater than the projected demand of 0.082 MGD

The average daily flow at the withdrawal location on Dillard Creek would not support a withdrawal of 0.08 MGD on approximately 6.7% of the days based on the past 25 years of Tye River flow data. This represents 615 days (1.7 years) over the last 25 years. 2002 was a severe drought year and the creek flow was too low on 30% of days for the projected needed demand. During these days, supplemental water would be required to meet the projected demand. Recent Extended Withdrawal Limitation Periods were 10/2/23 to 11/8/23: 38 consecutive days below required flow and would not have allowed 82,000 gpd withdrawal 10/2/23 to 11/20/23: only one day during this 50-day period that flows would have allowed 82,000 gpd withdrawal. THE REGULATIONS ARE CLEAR THAT THE 10% LIMITATION RULE APPLIES EACH AND EVERY DAY USING THE QUANITY OF WATER THROUGH THE CREEK IN THE PREVIOUS 24 HOURS.  THE COUNTY WILL HAVE TO ARRANGE FOR BACK-UP WATER STORAGE FOR WHEN DAVID CREEK WATER FLOW IS LOW.

             The environmental considerations that need to be considered are the threatened and endangered (T&E) aquatic species possible in the project area; three mussel species identified as potential in this area.  The potential impacts are believed to be minimal but environmental agencies may require site-specific evaluations.  A low-level dam may be necessary to ensure adequate stream depth for water withdrawals, though it could face regulatory and ecological challenges.

The preliminary Cost Estimates are:

• Withdrawal permitting (Application prep and DEQ fee): $40,000–$50,000

• Dam installation permitting: $50,000-$75,000

• Special studies (e.g., endangered species, archaeology): $10,000–$25,000 per study

• Intake, pump station and water treatment system engineering and construction are estimated at $6.5M (includes treatment facilities but not storage tanks.  It does not take into account impoundment of water (lake)) with operations and maintenance costs between $150,000 - $250,000 annually.

 The discussion from CHA at the meeting was fascinating.  It went into the costs, the probability of drilling a successful well and how the sites are selected.  He also discussed how accurate  divining rods have proved to be.  The location of water is not necessarily located in convenient drilling places.  The BOS packet pages 74 to 91 has the full power point presentation including detailed geological maps that shows where the wells could be drilled with sufficient water production.  Grant money might be available for a test well and Mr. Steele will look for possible grant money.

 C. Nelson County Jail Utilization Report – Matthew Vitale, OAR

             Matthew Vitalis from OAR gave a detailed power point presentation about the population make up and the numbers of persons who have been housed in the Albemarle-Charlottesville Regional Jail and isolated the data pertaining to Nelson County in particular. The full power point presentation starts on page 92 of the BOS Packet and ends on page 140. Enclosed is a very brief summary of the data presented and is focused on Nelson County in particular. This is a very small snapshot of what was presented.

The report analysis summarizes time series data of booking and release trends among the 3,206 Nelson County responsible inmates taken into the Albemarle-Charlottesville Regional Jail from 2015 to 2024.1

• Reported group A crime offenses (most serious crimes) in the past decade in Nelson have increased by 24%.

• Reported arrests have increased from 121 in 2015 to 359 in 2023, a 197% increase.

• Reported crime rate per 100,000 is also up, 26% increase in the past decade.

•. Consequently, more inmates have entered ACRJ from Nelson, up 21% in the past decade.

• Each individual is booked with an average of 2.0 charges per intake, indicating most bookings involve multiple offenses.

• The top four booked charge categories by volume are narcotics, DWI, contempt, and assault.

• 1 in 5 releases (19.25%) returned to custody to serve a sentence at ACRJ within three years of release.

• Generally, Nelson County experienced an increase in criminal justice metrics, despite a county population decrease of -1.37% percent from 2015 to 2024. Weekender are individuals booked and released multiple times for the same charge event, have been counted once for the initial booking, and once for their release at the end of the sentence. The multiple bookings and releases associated with weekenders serving a sentence are not counted in any of the statistics within the report, unless specifically stated otherwise.  Individuals on HEI, although serving a sentence on home electronic incarceration, have been counted as expending bed days, as they utilize facility resources, and the standard set by the VA Compensation board also includes HEI within average daily population counts.

• Comparing 2015 to 2024, the number of inmates entering ACRJ increased by 21%, with the highest volume occurring in 2018-2019. Intake volume has become relatively level since onset of COVID-19 in 2020.

• 2023 to 2024 year over year total intakes decreased by -4%.

• From 2015 to 2024, intakes of Black inmates rose 11%, compared to the 23% increase observed among White inmates.

• Female inmate intakes grew at an average compounded rate of 5.36% per year between 2015 and 2024, compared to 1.43% per year among male inmates.

• Although increases in total intake volume were observed 2015 to 2024, the increase was driven by inmates aged 30+. Decreases were observed in the 18-24 and the 25-29 cohorts.

• Due to this shift, the average age at intake has increased from 33 to 40.

• Intake rate per 1,000 residents has increased from 16 in 2015 to 20 in 2024.

• Due to increases in various criminal justice metrics, bed days expended on Nelson-responsible inmates has increased by 36% in the past decade, or a compound annual growth rate of 5.32% per year

 VI. NEW & UNFINISHED BUSINESS

A.   BRVGS Sister Cities Update – Brayden Murphy and Odin Clark-Cearley: These two students at Nelson High School reported that it appeared that Lovingston could apply to be a “Sister City”  or the entirety of Nelson County could apply to be a “Sister City.”  If the County wanted the entire county to be included in the Sister City Program, Mr. Murphy and Mr. Clark-Cearley had identified three possible cities to become our “Sister City”:

1.     Arrondissement de Florac in France is a mountainous city (similar to our terrain) in southeast France near the Mediterranean with a population of 13,028 people occupies 630 square miles.

2.     Cafayete Argentina, population 13,785 occupies 630 square miles and is known for its wine. Its terrain resembles our southwest.

3.     Boza, Granada Spain with a population of 20,562 occupies 208 square miles and is already in the Sister City Program.

  If the town of Lovingston became the designated “Sister City” candidate, the students proposed the following three locations as potential “Sister Cities”:

1.     Gavi, Italy, a town in the Piedmont with notable wine and a military fort, population 4,622 and which occupies 2 square miles.

2.     Uchaux France, a commune known for wine, forests and hiking, population 2,702.

3.     Riquewihr, Alsace France, population 1004, which occupies 6.58 square miles and is known for its 16th century architecture and wine.

The Board voiced after some discussion the consensus that the “Sister City” should be the entire county and approved a draft letter to get the process started. The final decision making as to which location should be the “Sister City” was left to the students.

B.    Friends of Gladstone Depot Relocation and Restoration Proposal: Joanne Absher presented a request to the Board to fund the relocation of the Gladstone Depot.  The new location was already purchased in 2017 for $15,000. The report of the current costs of relocating the Gladstone Depot has gone from under $300,000 when the project was first proposed in 2017 to $3,184,393 per the estimate of Coleman-Adams Construction Inc.  The project is capable of being done in phases.  The federal grant that had been applied for was lost because i) the criteria to qualify changed during the application process and ii) because of Covid, the grant process was not completed within the specified timelines.  The itemized (very detailed) cost report for the project begins on page 142 of the October 14, 2025 packet and ends on page 148.  The question Joanne Absher  put to the Board is “will the County provide any money for this project?” Candy McGarry is putting her in touch with possible grant money sources but that will be insufficient to cover the cost of the project.

Supervisor Reed said there is currently no money available in the budget for such a project.  He needs to see the phases proposed.  He is concerned about other capital expenditures that are weighing heavily on the County. Candy McGarry reported that over a million dollars will become available if the solar project moves forward in 2027.  Ms. Absher said that she needs to know the county’s intentions.  Supervisor Reed said that he feels she needs to gather a team of people to develop and present the project.  Ms. Asber reported in response to a question/ comment from Supervisor Ligon that the depot has to raised AFTER the foundation is laid.  You can’t  just move it.

Supervisor Ligon said that Gladstone is in line to become a designated historic area but that may take years to become a reality. She opined that preservation of the Gladstone Depot should help the process.

Supervisor Parr said we have overlooked the Gladstone area and the depot for years because of other pressing needs.  The money coming out of Wild Rose Solar Farm should be allocated substantially to the Depot Project and he will fight for such funding.

No concrete decision was reached and Ms. Absher agreed to bring the Board back a phased plan for the project.

C.   Authorization for Public Hearing - Battery Energy Storage Siting Agreements (R2025-75):

Ms. McGarry gave the Board the following summary of the project and the staff’s recommendations:

“RE: Agenda Item VI. B – October 14th BOS Meeting: Authorization for Public Hearing Battery Energy Storage Siting Agreements – Piney River & Colleen CVEC Locations

 Background: CVEC proposed to utilize battery energy storage systems to improve their electric grid resilience and provide higher quality and lower cost electricity to its local customers by integrating stored power into the grid during times of peak usage.  CVEC received County Planning & Zoning approval of their site plans on August 1, 2025 to construct two (2) 4MW battery energy storage systems at their existing power substations in Colleen and Piney River. These were approved administratively as by right accessory uses to a public utility, pursuant to the Article 4 of the Code of Nelson County:

4-1-11

Public utilities generating, booster or relay stations, transformed substations, transmission lines with support structures, pipes, meters and other facilities for the provision and maintenance of public utilities, including railroads and facilities, water and sewerage installations, and water storage tanks.

4-1-12

Accessory uses as defined.

Accessory use or structure: A subordinate use or building customarily incidental to and located upon the same lot occupied by the main use or building CVEC has contracted with Lightshift Energy, a utility-scale energy storage company headquartered in Arlington, VA. to develop and operate these facilities.

Lightshift representatives have advised that Siting Agreements are needed to be in place in order to finalize their financing and secure pricing on the battery purchases.

Siting Agreements: Per the State Code of Virginia §15.2-2316.7, §15.2-2316.8, §15.2-2316.9, the applicants Piney River VA BESS 1, LLC and Colleen VA BESS 1, LLC and the County may enter into a siting agreement as defined therein, the project is eligible for a siting agreement as described therein, and the applicants provided written notice to the County as described therein on March 25, 2025 of their intent to locate the projects in the County and negotiate a siting agreement.

The purpose of the siting agreement is so the applicant can make a voluntary payment to the County above and beyond its tax obligations called a “capital payment”, as a meaningful way to be a community partner and to mitigate potential impacts of the project pursuant to aforementioned State Code sections. Pursuant to aforementioned State Code sections, once the parties agree to the terms of the agreement, the host locality shall schedule a public hearing for the purpose of consideration of the siting agreement. After convening a committee of me, A. Spivey, D. Bishop, J. Ligon, and D. Parr and substitute legal counsel M. Popovich (Mr. Payne has a conflict as he is legal counsel fo CVEC), staff has been working with LightShift Energy representatives to address the questions we had and include desired language. These primary points included:

• The inclusion of decommissioning language in Article 1 #6, pursuant to the referenced Memorandum of Lease Agreement in Exhibit D – Lease to be provided once finalized. Project is significantly smaller in scale than solar.

• The inclusion of language in Article III related to Emergency Response Training that they are working with the local fire department on the creation and implementation of an Emergency Response Plan. This plan will outline what Lightshift is responsible for such as if there is a deficiency in their response results in the local fire department needing to provide additional support beyond what would normally be required, they commit to reimbursing the fire department for the man-hours associated with the extra effort. LightShift is responsible for paying all of the costs of specialized training.

• Capital Payments- Each Siting Agreement (one-time payments):

o $8,000 to be paid by applicant within 30 days of the Commercial Operations Date – expected to be in Q3 of 2026.

Per LightShift Energy, the $8,000 amount reflects the project’s anticipated impacts, which are expected to be minimal, given its small scale and location. They applied a rate of $2,000/MW, which is how they arrived at $8,000 for both Piney River & Colleen which are 4 MW projects.

o A $10,000 one-time payment to be paid to a community organization/agency of the County’s choosing, upon ribbon cutting of the projects.

• Local Taxes: LightShift Energy is working with Kim Goff to confirm how the County

will assess these projects. Based on applying the M&T tax rate, they estimate the

annual tax will average approximately $8,000–$9,000/year.

• Substitute legal counsel M. Popovich has reviewed the amended Agreements and he has no legal issues with them as drafted. He did question how the proposed capital payments were derived; which is noted above.

 

Staff Recommendation: Adopt proposed Resolution R2025-75 to Authorize a public hearing for the November 13th BOS meeting. This is a small project in scope compared to utility solar, the use is by-right so there is no Special Use Permit approval required, and it will benefit local CVEC customers by keeping rates down during peak usage periods.” (Highlighting/bolding is the report author’s edit.)

  LightShift presented a power point of the siting project for Piney River and Colleen stand-alone batteries. That presentation, the actual siting contracts, and the enabling statutes governing such contracts  appear at pages 152 to 201 of the October 14, 2025 Board of Supervisor packet. The siting agreements do not require a special use permit but are by right usages.

The Board voted unanimously to approve the following resolution to set a Public Hearing on the proposed siting contracts:

  “AUTHORIZATION FOR PUBLIC HEARING ON BATTERY ENERGY STORAGE SITING AGREEMENTS:

RESOLVED by the Nelson County Board of Supervisors pursuant to and in accordance with the provisions of §15.2-2204 and §15.2-2316.8 of the Code of Virginia, 1950 as amended, that the County Administrator be and is hereby authorized to advertise a public hearing notice for the conduct of a public hearing on Thursday, November 13, 2025 at 7:00 p.m. in the General District Courtroom of the Courthouse in Lovingston. The purpose of the public hearing is to receive public input on two siting agreements, one with Piney River VA BESS 1, LLC, and one with  Colleen VA BESS 1, LLC, for two (2) 4MW battery energy storage systems to be constructed at CVEC substations in Colleen and Piney River. The site plans were approved administratively as by right accessory uses to a public utility, so no special use permit approval is required. These battery energy storage systems will benefit local CVEC customers by keeping rates down during peak usage periods.”

  D.   DHR Historic District Survey and Planning Grant:

Ms. McGarry reported that there is a grant opportunity for Gladstone resulting from Hurricanes Florence and Michael. Nelson County is eligible under Hurricane Florence. The project survey planning grant is fully funded and no matching funds are required from the County. The staff requests that they be permitted to file for the funding grant. The attached motion from Candy McGarry was unanimously approved:

“I move that the Board authorize staff submittal of an application for funding under the Emergency Supplemental Historic Preservation Fund (ESHPF) grant program for survey and planning activities related to establishing a Gladstone Rural Historic District.”

 VII. REPORTS, APPOINTMENTS, DIRECTIVES AND CORRESPONDENCE

A. Reports

1. County Administrator’s Report: Candy McGarry gave the following County Administrator’s report:

  Re: County Administrator’s Report for October 14, 2025 Board Meeting

A. DSS Building Project: Coleman-Adams began hazardous material abatement the week of October 6th and demolition of the existing building is to occur mid-October to November, with site work to follow. Job site protections including fencing will be erected by Coleman-Adams to protect the site from foot traffic in the area during construction.

 B. Department of Social Services CPS Data & Agency Corrective Action Plan:

               Agency CPS Referral Data for September is comparable to that of August and is shown below:

Total Referrals Received = 18 Results of Referrals Validated:

Validated = 13 (data discrepancy noted) Investigations = 4

Screened out = 5 Family Assessments = 8 Percentage Validated = 72% Percentage Investigations = 31%

Percentage Screened Out = 28% Percentage Family Assessments = 62%

The Agency is continuing to work with VDSS in working through its Corrective Action Plan; the last review on September 25th showed the agency “making great progress in all programs” per the VDSS practice consultants. The next review is scheduled for October 23rd.

• _CPS: Significant progress is shown in closing older CPS referrals with 30 open as of 9/22 and only 6 indicated as overdue. Staff is working through systems data entry challenges in COMPASS and OASIS that correlate with data measurement in the Safe Measures system so that case data entered is accurately reflecting the case work that is occurring. More training will be provided by VDSS. Staff will be working to improve entry of Safety Assessment entry timelines. Coordination with NCSO, CA, and MDT on cases is where it should be.

• _Foster Care/Permanency: As of 9/22, 18 youth were in care. Staff is working to increase system documentation of monthly worker visits in the child’s current residence- as of 9/22 50% of the 18 had been documented in the system. The 5 youth in care that have a goal of re-unification had 100% documentation and 92.9% of cases were current on physical exams; with 35.7% current on dental exams.

• _In-Home Services: Face to face contacts with In-Home Services cases and Family Support Cases and In-Home Service Plan status data entry issues have caused data to be unreflective of visits and plans that have been done. Allison will check on these and data entry corrections will be made. Staff will be working on increasing Family Partnership Meetings for all programs.

Recruitment for a Director is ongoing; VDSS staff are conducting the second level of applicant screenings now and local recruitment for a Family Services Supervisor, Foster Care Worker, and Administrative Coordinator II is in process. Todd Viers has been named the new VDSS Piedmont Region, Regional Director replacing Tracie Brewster, who has taken a new role in VDSS.

The local DSS Advisory Board has been advertised and applications are being taken. Applications received to date will be presented to the Board under Appointments.

C. Space Needs Follow Up: No Change - Staff is following up as directed at the August 26th continued meeting, to collect information on 400 Front Street and The Nelson Center for consideration as possible solutions for the relocation of non-court related offices from the Courthouse. Some, but not all information requested has been made available.

 D. Christmas Lights: Amanda Spivey and Jeff Brantley met with Galen Creekmore and Jay Palmer from CVEC on 9/30 to discuss the Christmas lights in Nellysford. CVEC is in the process of evaluating the 13 light poles to determine what is needed to upgrade the receptacles. The needed replacements would be completed by CVEC. We are unsure if there is any cost associated with the work at this time, but Mr. Palmer has assured us that if there is any expense involved, they will work to keep the costs down as much as possible. Ms. Spivey has also been in contact with Heather Marks of AEP regarding the lights in Lovingston and Shipman. Ms. Marks is looking into a project for receptacle replacement but she will need all of the pole numbers related to the light locations. Maintenance staff is working to get a full list of pole numbers for the Lovingston and Shipman light poles. Once we have the pole numbers submitted to AEP, they will be able to put together more information on the replacement. In the meantime, a work order has been issued to evaluate all of the Christmas lights for Lovingston, Shipman and Nellysford with plans to go ahead and replace any broken bulbs so that the fixtures are ready to be placed when the pole work is complete. We are making every effort to have the lights in place for the holiday season. At this time, adding additional locations is not feasible for this season. Should any business or homeowner wish to purchase a light for installation on a streetlight pole, we recommend that they work directly through their electricity provider to discuss placement on a utility pole and any needed electrical service.

 E. NCCDF Family Assistance Program/Roseland Duplex:

Family Assistance Program: Ms. Claire has reported that as of September 26th - YTD, they have had 37 requests for $17,350 in assistance with 15 assistance payments of $6,717 made (an average payment of $444.83 of the $500 per application limit).

Roseland Duplex: As of September 26th, the wells have been dug, footers inspected, and block for the foundations has been delivered. Buildings will arrive at the end of October. Fundraising to complete the funding needed for the project is ongoing.

E.   Wild Rose Solar Project Status: Wild Rose Solar (Savion Energy) is scheduled to provide a more in-depth project update at the Board’s December 9th regular meeting.

Certificate of Public Convenience and Necessity (CPCN): In progress; this was filed back in July, the notice will be published in the local newspaper before October 31st, and the public comment period will be open until December 5th. This permit is limited to our road crossings.

Permit by Rule(PBR): Approved by DEQ

Interconnection: Received Phase III Interconnection results, Interconnection Agreement will be signed by end of November.

Current Project Schedule: No change to the anticipated schedule. Start of Construction: June 2027, Commercial Operation: September 2028

G. County Investment of Funds: Ms. Hull has provided the following investment information for County funds of $23,258,237.10. This balance varies depending on cyclical cash flows at the time. Cash flow will increase with the December property tax billing, increasing the County funds invested.

Investment Account                                                      Amount                                 Interest Rates

County of Nelson Max Sweep

(combined general operating and Money Market) $4,866,076.05 2.96%

Virginia Local Government Investment Pool ( LGIP) $48,708.47 4.44%

VIP Stable Nav Liquidity pool $7,138,108.80 4.41%

Multi-Bank Securities Inc. Fixes income Account-

These are CD’s that have different interest rates $3,217,152.83 Ranges from 3.5% to 4.97%

Virginia Municipal Investment Trust $7,988,190.95 4.48%

__________________________

Nelson DSS Data for August 2025

Total Referrals Received = 23

Validated = 15

Screened out = 8

Percentage Validated = 65%

Percentage Screened Out = 35%

 Nelson DSS Data for August 2025

Investigations = 4

Family Assessments = 11

Percentage Investigations = 27%

Percentage Family Assessments = 73%

 

Nelson Data for September 2025

Total Referrals Received = 18

Validated = 13 (data discrepancy noted)

Screened out = 5

Percentage Validated = 72%

Percentage Screened Out = 28%

 

Nelson Data for September 2025

Investigations = 4

Family Assessments = 8

Percentage Investigations = 31%

Percentage Family Assessments = 62%

 

SFY2024

Nelson SFY2024 Data

Percentage Validated = 26%

Percentage Screened Out = 74%

Percentage Investigations = 0%

Percentage Family Assessments = 90%

 Piedmont Region SFY2024

Percentage Validated = 42%

Percentage Screened Out = 58%

Percentage Investigations = 19%

Percentage Family Assessments = 78%

 

Statewide SFY2024

Percentage Validated = 39%

Percentage Screened Out = 61%

Percentage Investigations = 24%

Percentage Family Assessments = 74%

The Board made the following comments, questions and requests to /of Ms. McGarry:

Supervisor Parr asked to please have the Treasurer or Commissioner of Revenue at the next Board meeting to report on the revenue generated by the Oak Ridge Event. Ms. McGarry agreed and said she would get him that data as soon as it is available. He expressed disappointment that no mention was made in the Department of Parks and Recreation report about the status of the “Cover the Caboose Project” and asked that the Department be prompted to get the Board a status report.

Supervisor Rutherford inquired what the fiscal year was for the Department of Social Services and was told it runs from May to May. He also asked if the reassessment of real property in the County was expected to be completed by the end of December and was told yes.

Supervisor Reed raised the thorny issue of space reallocations for various offices in the county government and next year’s school board budget. After some disjointed discussion, the Board agreed to schedule a work session in December after gathering more information to formulate a position to give the school board on space utilization and to postpone a formal meeting with the School Board on budgetary issues until January when the new Board members were installed. However, the Board wanted a preliminary budget needs assessment from Dr. Hester and Shannon Irvin in December so the Board would be forewarned of likely upcoming budgetary issues.

 2. Board Reports:

Supervisor Ligon: She attended the meeting of the Planning Commission regarding all the charts they received (subject of the charts not specified) and on the subject of short term rentals. She felt that the meeting was productive. The Commission plans to have a report to the Board at the joint meeting on October 22, 2025.

 Supervisor Rutherford reported that the Oak Ridge Event went well. He attended the Oak Ridge Event every day and he felt the Oak Ridge Event was very well organized although he also heard complaints about the noise. He attended the Jail Board Meeting where they modified their by-laws and made plans for the groundbreaking ceremonies on the new construction.

Supervisor Parr reported that the Oak Ridge event was well organized, that there were very few medical incidents and most were not serious. He felt that it is important for the public to know that the EMTS,  the local deputies, and those deputies from neighboring counties were paid for by the promotor. The state police were not involved because of their higher hourly pay rate which exceeded what the event was paying. The State Police maintained their regular patrols in the County during the event.

 Supervisor Reed reported that there were many complaints made to him about the pulsing sound particularly on Friday night emanating from the Oak Ridge Event which could be heard as far as 15 miles away. He and Supervisor Rutherford attended the TJPDC meeting . He learned that the two ride share lots most used in the county were the one at the intersection of Route 6 and 29 which took people to out-of-county jobs and the one at Roseland which tended to go to inter-county locations. Supervisor Reed attended the Blue Ridge Cigarette Tax Board Meeting *, an organization Nelson County decided not to join. While not advocating a cigarette tax in the County, based on the figures of income derived by neighboring counties, Mr. Reed reported that it  appears Nelson could bring in between $100,000 to $300,000 per year if we imposed the cigarette tax.  Supervisor Reed attended the Domestic Violence Event at the courthouse which was very informative.  It being election season, he attended the Home Builder’s Forum, the League of Women Voters Forum, and 3 town halls he had organized which were well attended.

*Editor’s note: The Blue Ridge Cigarette Tax Board (BRCTB) was established pursuant to Code of Virginia § 58.1-3832 to assess, collect and disburse the cigarette taxes levied by and for its member jurisdictions. Current members of the BRCTB are Albemarle County, Augusta County, Charlottesville City, Fluvanna County, Greene County, Madison County, Orange County, Rappahannock County, Rockingham County, Town of Madison, and the town of Mount Crawford.  

The Board is composed of one representative from each jurisdiction. The current Board chair is Jennifer Whetzel (Augusta County). Charlottesville City charges $.55 per pack tax. The remaining jurisdictions charge $.40 per pack tax.

 B. Appointments: The attached chart shows the vacancies on the various boards/commissions  and the applicants. The Board voted to reappoint Shelby Bruquiere to the board of Zoning Appeals and deferred the other appointments until the November  meeting to see if any more candidates applied.  

 C. Correspondence:  None

D. Directives: Supervisor Rutherford moved the Board to provide the Lovingston Merchants Association $5000 at this time and to consider them in the regular budget process in 2026-2027 and thereafter.  The motion was unanimously approved.

 VIII. The meeting moved into CLOSED SESSION PURSUANT TO §2.2-3711 (A)(5).

 IX. OTHER BUSINESS (AS PRESENTED): None

 X. The Meeting awas ADJOURNED and  CONTINUED to the EVENING SESSION AT 7PM.

EVENING SESSION

7:00 P.M.

 I. The meeting was CALLED TO ORDER.

II. PUBLIC COMMENTS

 1) Edward McCann: Mr. McCann thanked the Board for its excellent building inspector staff, specifically Jeremy Marrs and Morrison Barker who literally hand-held his unfortunate choice of a contracting firm into making the foundation they were supposed to repair compliant with code.  Due to the contactors failures, a 2-3 day project took four months and would not have been accomplished if not for those inspectors who were coming out after normal business hours to help get the job inspected and into compliance.

 III. PUBLIC HEARINGS

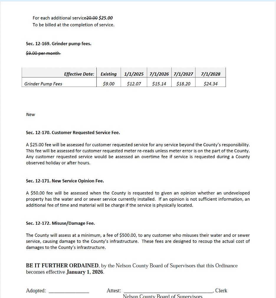
A. Ordinance O2025-09 – Amendment to Chapter 12, Utilities, Article III, Water and Wastewater, Division Ten Consideration of an ordinance proposed for passage to amend Chapter 12, Utilities, Article III, Water and Wastewater, Division Ten, Schedules of Rates, Fees, and Other Charges.

 B. Public Comments:

Candy McGarry made a power point overview presentation about the history of events leading up to this point and the reasons for the stepped up fees and charges. The proposed Motion is as follows:

Public comments were made by these speakers:

 1)Shawn Pannell – Piney River, VA

2) Esther Page – St. James Baptist Church

3)Stephanie Evans – Piney River, VA

4)Georgia Brown – Roseland, VA

5)Roberta Brown – Roseland, VA

All five speakers voiced much of the same concerns. The population affected by the proposed rate and cost increases are largely living hand to mouth, on fixed incomes and may be choosing between food and the increased utility bills resulting from the proposed rate increases. Shawn Pannell reported that his water is cloudy and smells of chlorine. He felt that the proposed increased hydrant charges are excessive. Georgia Brown and Roberta Brown, in addition to the comments above, pointed out that many of the affected parties are seniors and worried what would happen if a customer literally couldn’t pay the bill. Stefanie Evans suggested that the minimum charged usage be lowered from 4000 gallons and that a lower minimum rate be charged. She said she doesn’t use anywhere near the suggested minimum usage.  Esther Page said that her church is struggling and cannot afford the increased charges. She requested an exemption for churches.

After the public comments, the Supervisors spoke their own concerns.  David Parr said he doesn’t support the proposed rate changes because it’s unfair to cure a failure to make rate changes over a period of 15 years by raising the rates so quickly and dramatically over 6 years. There is no legal requirement to turn the system over to the Nelson County Service Authority. This system was created because of a public safety issue:  the land in Piney River doesn’t perk and sewage floats to the surface of the ground with heavy rain. Supervisor Parr does support 3%-5% rate increases but wants the Board to take no action until further discussion.  Supervisor Rutherford agreed that the Board take no action on the proposed ordinance tonight. That being the consensus of the Board, the matter was generally continued. No date for another hearing is set.  Supervisor Parr assured those constituents present that proper public notice will be given before another hearing occurs.  No vote will occur in secret.

 IV. OTHER BUSINESS (AS PRESENTED):None

V. The meeting was ADJOURNED  AND CONTINUED TO OCTOBER 22, 2025 AT 5:00 P.M. FOR A JOINT WORK SESSION WITH THE PLANNING COMMISSION.

NewsAnn Mische